模型介绍
杭州师范大学胡潭高教授团队联合杭州蚁图科技有限公司研发团队,共同推出了城市暴雨内涝智能模型(Urban Flood Intelligent Model, UFIM),该模型是基于一二维耦合的水文水动力模型:在地表产汇流计算中采用霍顿下渗模型与非线性水库模型相结合的算法;管网水力计算通过动力波法求解一维圣维南方程组实现精确模拟;二维地表积水扩散则基于规则格网,通过融合动量方程与连续性方程构建水量平衡模型。
模型具备独特的空间尺度适应性,可精准实现从宏观的城市级、中观的区县级到微观的社区级的多层级内涝模拟,在杭州市的多个重大项目中已取得显著成效。典型案例包括:亚运会场馆群的内涝防御保障、城市级防汛应急响应系统建设,以及基于多情景模拟的排水系统整改治理方案设计。
为满足不同用户群体的需求,研发团队同步开发了双版本应用平台:UFIM Desktop版作为科研工具集,面向高校及科研机构提供开源计算内核,配备完整的技术文档(含操作手册、教学视频)、标准数据集和典型应用案例,目前已开放下载,获取方式详见后文“软件获取”。UFIM Server版则为企业及政府部门提供定制化服务解决方案,支持云端部署、实时数据接入和自动化预警功能。
UFIM1.0的开发获取只是万里长征的第一步,研发团队将秉持合作共赢的精神,诚挚邀请国内外对城市内涝领域感兴趣的朋友,共同参与UFIM模型的持续优化与扩展功能研发工作。
模型原理
(1)一维模型主要原理:
地表产流采用霍顿下渗模型:

f为入渗率 (mm/h);fc为稳定入渗率 (mm/h);fo为初始入渗率(mm/h);t为时间 (h); k为下渗能力随时间衰减系数,与土壤特性相关。
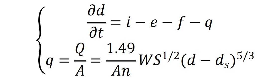
地表汇流采用非线性水库法:

d为水深;ds为洼蓄深度;i为降水强度(mm/s);e为地表蒸发率(mm/s);q为入渗率(mm/s);Q为地表径流率(mm/s);A为地表径流体积(m3/s);W为汇水区面积(m2);为汇水区特征宽度(m);n为曼宁系数;S为汇水区平均坡度(%)。
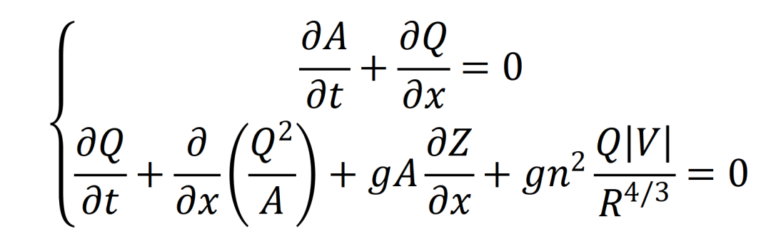
管网水力计算采用动力波法完全求解一维圣维南方程组:

A为过水断面面积(m2);Q为过流量(m3/s);t为时间(s),x为空间变量(m);Z为水位(m);R为水力半径(m);n为糙率,g为重力加速度(m/s),V为断面平均流速(m/s)。
(2)二维模型主要原理:
基于DEM将计算域划分为规则网格,通过考虑栅格间水量平衡,运用动量方程和连续性方程进行地表淹没模拟。

Q为栅格单元总流量(m3/s),Qu,d,l,r为与栅格相邻的上游、下游、左侧、右侧栅格单元流量之和(m3/s),Qij为栅格的流量(m3/s),Rij为栅格的水力半径(m),Sij为栅格的水面坡度,n为曼宁系数。
(3)一、二维模型耦合原理:
以管网节点建立单向数据传递实现松散耦合。
软件功能
(1)UFIM Desktop:
UFIM Desktop是一款在PC上运行的轻量化的建模软件,可以根据降雨、排水管网、地形和土地利用实现城市内涝过程的模拟,以图表化统计节点溢流和管网负荷来分析管道排水能力,以可视化地表积水演进过程来评估城市内涝风险。软件同时集成了基于芝加哥雨型的暴雨强度设计工具并预设了浙江省所有区县的暴雨强度公式。



(2)UFIM Server:
UFIM Server是一项以UFIM算法为核心的定制化城市内涝模型服务,业务化运行阶段将接入主流天气预报数据驱动模型,不间断的实时预测城市排水管道运行和积水情况,自动发布简报,为城市内涝预警和防汛应急处置提供科学支撑。UFIM Server已实现国产信创和灵活部署,支持在国产软硬件平台的敏捷部署。

应用案例
(1)杭州亚运会场馆内涝保障
在杭州第19届亚运会期间,为杭州奥体中心、上城全民健身中心、临安体育文化会展中心等4个场馆提供防洪防汛智能保障服务,向浙江省应急管理厅上报汛期简报7份,受到杭州亚运会赛事总指挥部表扬。

(2)杭州市汛期应急保障服务
为杭州市上城区、余杭区、临平区、萧山区、临安区、钱塘区等6个区县提供汛期应急保障服务。
2024年6月23日“暴力梅”期间,助力临安区防汛排涝应急处置效率同比提升37%,实现城市内涝应急处置群众满意度达98%,相关工作受到杭州日报专题报导。


(3)内涝整改治理方案设计
针对汛期出现的涝点进行复盘,科学诊断积涝原因,为治理提供科学依据,实现整改治理方案从“开膛破肚”到“微创手术”的转变。


软件获取
下载地址:https://www.antmap.net/web/ufim/

联系方式:

软件使用过程中有任何问题,欢迎随时交流。